2.4 Possible Candidates of Dark Matter
There is no shortage of ideas as to what the dark matter could be. Serious candidates have
been proposed with masses ranging from 10^(-5) eV (10^(-71) solar mass) to 10^4 solar mass black holes. That’s a range of masses of over 75 orders of magnitude (Zioutas et al., 2004; Redondo and Ringwald, 2011; Feng, 2010).
As we have seen, baryonic DM candidates are cosmologically insignificant. Hence much
of the focus is primarily on non-baryonic candidates. The non-baryonic candidates are basically elementary particles which are either not yet discovered or have non-standard properties. There is compelling evidence that much of the DM may be made up of as yet undiscovered particles like axions, neutralinos, gravitinos or composites of the same.
2.4.1 Weakly Interacting Massive Particles
A fraction of a second after the Big Bang the universe was so hot that new particles (and
antiparticles) were created and destroyed all the time. It turns out that a stable particle of mass near 100 GeV and interacting with the strength of the weak force will leave just about the right amount of “leftovers” to account for the observed dark matter density (Jungman, Kamionkowski and Griest, 1996).
Perhaps the most popular extension to the Standard Model, super-symmetry predicts that
each particle in the Standard Model has a heavier partner of different spin but similar interactions. The lightest of these particles is stable in many cases, which is an excellent dark matter candidate (Ellis et al., 1984; McGuire and Steinhardt, 2001; Byrne, Kolda and Regan, 2002).
Many theories also suggest the possibility of more spatial dimensions that may be curled up and in which a particle could be present, which could be massive versions of the Standard Model particles, and the lightest of these (Kaluza-Klein particle) is often stable and a good dark matter candidate (Servant and Tait, 2003).
2.4.2 Axions
There are other possible DM candidates which do not fit into the above framework. The
most popular such candidates are called axions and arise from attempts to explain why the strong interaction seems to obey the CP symmetry (Peccei and Quinn, 1977).
Strong interactions of the standard model (QCD) possess a non-trivial vacuum structure
that in principle permits violation of the combined symmetries of charge conjugation and parity, i.e. CP. Large CP violations due from the standard model would induce, an experimentally unobserved, large electric dipole moment for the neutron. This implies CP violation from QCD must be extremely tiny. The best explanation for this is the prediction of a new light neutral particle called the axion, which arises as a result of the spontaneous symmetry breaking of a new Uₐ(1) (Peccei-Quinn) symmetry. The axion is stable, and can also be produced in the early universe (Abe, Moroi and Yamaguchi, 2002; Sivaram, 1987).
Some of the major challenges in the design of an experiment to detect axions are that the
particle’s mass and the coupling constant are unknown. The predicted masses range from 1μeV to 1eV. Several axion experiments are based on the prediction that axions and photons are converted into each other when subjected to a strong magnetic field.
2.4.3 Primordial Black Holes
Carr, Kühnel and Sandstad (2016) have considered the possibility that the dark matter
could be comprised of primordial black holes (PBHs). It is found that black holes in the intermediate-mass range of one solar mass to a thousand solar mass and sub-lunar black holes in the range 10¹⁷ – 10²¹ kg can still produce all the dark matter, depending on the exact values of the astrophysical parameters involved in the constraints, including lensing, dynamical, largescale structure and accretion. Although it is not possible to account for all of the DM in PBHs if their mass function is monochromatic but this is still possible if the mass function is extended. This perhaps requires some fine-tuning.
2.4.4 Exotic Candidates
In addition to the mainstream candidates above, many more exotic candidates have been
suggested – WIMPzillas, gravitinos, gluinos, Q-balls, Q-nuggets, SIMPS, etc. There are myriads of possible dark matter models. One other model is that baryons can be ‘packaged’ in non luminous forms. There is evidence that much of the DM may be made up of as yet undiscovered particles with several experiments all over the world trying to detect these.
Many of these conjectured particles are in the preferred range of 100 GeV to a TeV.
There could be DM objects or clumps made up of these particles bound by their mutual self gravity and limits have already been placed on the abundance (density) of these objects (Sivaram and Arun, 2011a).
2.4.4.1 Fermi Balls
‘Fermi balls’ arise from long-range two-neutrino exchange between two electrons or
protons, based on the balance between weak interactions and gravity. This force has an r⁻⁵ dependence on the potential and has been involved in various contexts thus having a long tradition (Ivanenko and Tamm, 1934; Hartle, 1972; Sivaram, 1983).
For N particles in a spherical configuration of radius R the force is of the form (it arises purely from the Fermi-four-fermion of a neutrino pair exchanged between massive fermions with a weak-coupling strength:

This is to be balanced by the gravitational self energy scaling as N² with 1/R dependence.
Balancing the four-fermion force and gravity force (overall neutrality would imply no Coulomb forces), gives a unique mass-radius (M-R) relation for those objects as:

For an object of 0.1 fm radius would have mass ~10⁴ kg. These objects form the Fermi
balls. 10⁴⁰ Fermi Balls are needed to account for the total DM in our galaxy, having a galactic number density of 10⁻²⁰ m⁻³. However, the radius R of these objects is much larger than their corresponding Schwarzschild radius and hence is distinct from primordial black holes (PBH).
2.4.4.2 Nuclear Balls
‘Nuclear balls’ could be formed in the early universe when densities were comparable to 10¹⁸
nuclear densities. Nuclear forces behave like a fluid with a surface tension of, Sₙᵤ꜀ₗ ≈ 10¹⁸ Nm⁻¹ .
This is a typical nuclear surface force increasing with area as R² (and with mass number as A²/³). With the density of the nuclear fluid of
ρₙᵤ꜀ₗ ≈ 10¹⁶ kgm⁻³.
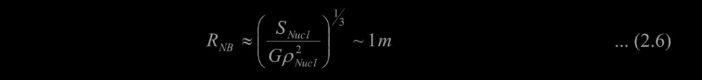
For the above values of S and ρ as given by, the radii of these balls are given as: (Sivaram and Arun, 2011a)

This would give them a mass ≈ 4 x 10¹¹ – 10¹² tons . The radius of these nuclear chunks is
again much larger than their corresponding Schwarzschild radius, so they are not black holes. Of the order of ~10²⁷ of these ‘nuclear balls’ is required to account for the galactic DM. This implies about one such object in a volume of our solar system.
2.4.4.3 EW Balls and GUT Balls
At epoch earlier to the formation of ‘nuclear balls’, during the electroweak transition, we
could have the formation of similar objects. The corresponding density would be that corresponding to the electroweak scale ~10² GeV,

(Sivaram, 1994b; 1986a).
The corresponding ‘tension’ is

. The corresponding radius of this EWs ‘electroweak gravity ball’ or EW balls is

So these gravitating EW balls have about micron radius and weigh about 4 x 10¹¹ kg.
And as before, their radius is much larger than their Schwarzschild radius and they are thus not Hawking black holes although their mass is intriguingly close to PBH. About 10³⁰ of these EW balls are required to account for our galactic DM which again implies one such object in a solar system volume.
We could also have such objects forming during the GUTS phase transition (Sivaram,1990). In that case, they would be ‘GUT balls’, with a tension

(which would GUT
depend on the GUT scale,)

implying a much smaller radius R~10⁻²² m.
Part IV will be published soon…